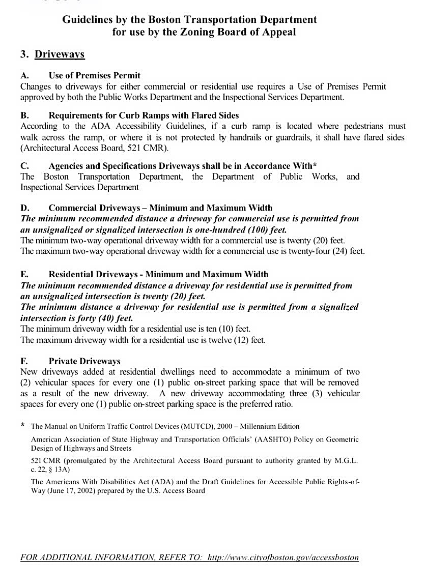
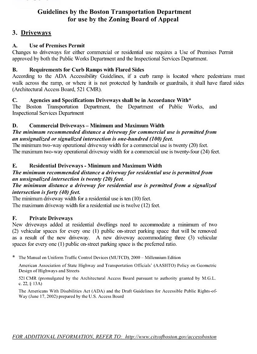
BOS:311

Help keep our city beautiful.

Boston
  • Tow lot

    The tow lot is only open Monday through Friday, from 7 a.m. - 10:30 p.m. Automated kiosks are available 24 hours a day, seven days a week for vehicle releases. More Information: https://www.boston.gov/departments/transportation/how-get-your-towed-car-back

  • Parking meters

    Parking meters are running on their normal schedules today. More Information: https://www.boston.gov/departments/parking-clerk/how-do-parking-meters-work

  • Street Cleaning

    Overnight street cleaning has been canceled. More Information: https://www.boston.gov/departments/public-works/street-sweeping-city

Recent Reports

  • Snow Plowing/Salting

    48 Burroughs St, Jamaica Plain, Ma, 02130

    Hi - this is a snow removal request, and not plowing per se. The residential streets in JP have been plowed but the massive snow piles remaining on the streets have reduced parking by at least 40% and have narrowed streets to functional one-lanes. Burroughs St is a great example of this. Could the team please come and scoop up / remove entirely to snow farms the massive piles? I know you have done this in business sectors and would love to have parity for the residential streets. And, I live on a side street (Agassiz Park) and it’s even worse. I’ll supplement with pictures when I can but I think you already know what I’m talking about it. I really appreciate all the work the team has done to clear snow after this huge storm, but anything that isn’t done now will probably be on the streets until May - and I shudder to think about what we’ll do if we get more snow this winter. Thanks - Julia Hesse

    OPEN #101006494727
  • Requests for Street Cleaning

    66 Monsignor Patrick J Lydon Way, Dorchester, Ma, 02124

    Space saver

    OPEN #101006494726
  • Sidewalk Not Shoveled

    Intersection Of Prairie St And Almont St, Mattapan, Ma

    Unshoveled sidewalk

    OPEN #101006494725